Pastor Roy's Study Questions for Message on Luke 16:19-31 (May 17, 2026).

Pastor Roy's Study Questions for Message on Luke 16:1-18 (May 10, 2026).

Pastor Roy's Study Questions for Message (May 3, 2026).

Pastor Roy's Study Questions for Message (April 26, 2026).

Pastor Roy's Study Questions for Message (April 12, 2026).

Pastor Roy's Study Questions on Resurrection Sunday Message (April 5, 2026).

Pastor Roy's Study Questions on Palm Sunday Message (March 29, 2026).

Pastor Roy's Study Questions on Luke 14:1-24 (April 12, 2026).

Pastor Roy's Study Questions on Luke 13:1-17 (March 15, 2026).

Pastor Roy's Study Questions on Luke 12:49-59 (March 8, 2026). There were no questions for March 1, 2026

Study Questions on 1 Peter 4:7-11 (February 22, 2026).

Study Questions on Luke 12:22-48 (February 15, 2026).

Study Questions on Luke 12:1-21 (February 8, 2026).

Study Questions on Luke 11:24-54 (February 1, 2026).

Study Questions on "Sanctity of Life Sunday" (January 18, 2026).

Study Questions on Luke 10:21-42 (January 11, 2026).

Study Questions on "1st Sermon – Why the Name The Way (January 4, 2026).

Study Questions on "Last Sunday of 2025) (December 28, 2025).

Study Questions on Peace at Christmas (December 21, 2025).

Study Questions on Hope at Christmas (December 14, 2025).

Study Questions on Luke 10:1-20 (November 30, 2025).

Study Questions on Luke 9:37-62 (November 23, 2025).

Study Questions on Luke 9:21-36 (November 16, 2025).

Study Questions on Luke 9:1-20 (November 9, 2025).

Study Questions on Luke 8:40-56 (November 2, 2025).

Study Questions on Luke 8:19-39 (October 26, 2025).

Study Questions on Luke 8:1-18 (October 19, 2025).

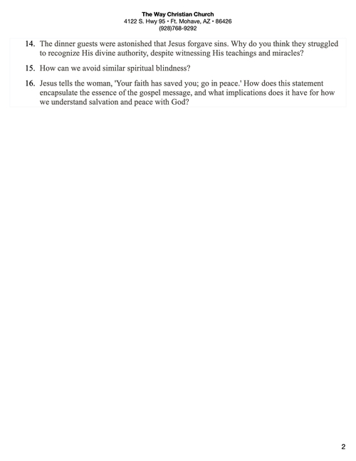
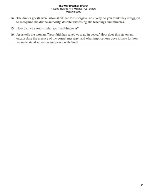
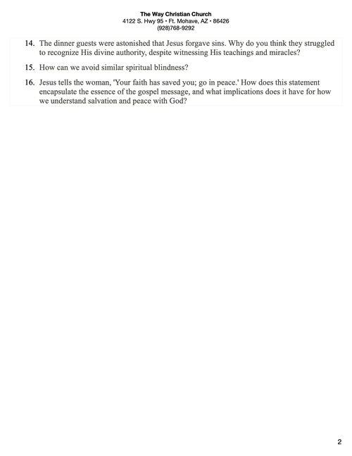
Study Questions on Luke 7:24-50 (October 12, 2025).


Study Questions on Luke 7:1-23 (October 5, 2025).
Below are a few study questions to help deepen your understanding of Gods Word.
Clicking either the pages/word or the pdf button will download a file for print.

Study Questions on Luke 6:27-49 (September 21, 2025).
Below are a few study questions to help deepen your understanding of Gods Word.
Clicking either the pages/word or the pdf button will download a file for print.

Study Questions on Luke 6:20-26 (September 14, 2025).
Below are a few study questions to help deepen your understanding of Gods Word.
Clicking either the pages/word or the pdf button to the right will download a file for print.

Study Questions on Luke 6:1-19 (September 7, 2025).
Below are a few study questions to help deepen your understanding of Gods Word.
Clicking either the pages/word or the pdf button to the right will download a file for print.

Study Questions on Luke 5:17-39 (August 31, 2025).
Below are a few study questions to help deepen your understanding of Gods Word
Clicking either the pages/word or the pdf button to the right will download a file for print.

Study Questions on Luke 5:1-16 (August 24, 2025).
Below are a few study questions to help deepen your understanding of Gods Word
Clicking either the pages/word or the pdf button to the right will download a file for print.

Study Questions on Luke 4:31-44 (August 17, 2025).
Below are a few study questions to help deepen your understanding of Gods Word

Study Questions on Luke 4:16-30 (August 10, 2025).
Below are a few study questions to help deepen your understanding of Gods Word

Study Questions on Luke 4:1-15 (August 3, 2025).
Below are a few study questions to help deepen your understanding of Gods Word

